
About Me
Networking Enthusiast, Learning Beyond
Hi! I’m Rahmalyana — a student who enjoys exploring the world of technology, especially computer networking. I have a growing interest in how networks communicate and how devices connect, and I’m currently learning basic configurations with Cisco and Mikrotik as I develop my skills step by step.
Since I’m still in college, I’m also exploring other areas like web development, Android development, IoT, and even game development. I enjoy trying different fields to understand what I’m truly passionate about and to build a broader foundation in tech.
For me, learning is a continuous journey. I’m excited to keep growing, improving, and discovering new things that help me build both my technical skills and my creativity.
My Skill
Skills & Still Learning

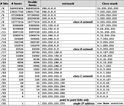
Networking

UI/UX Design

Game Developer

Web/Android Development

Say Hello!
rahmalyanaayuningtyas@gmail.com
Recent Projects
Projects I’ve Worked On
Polivent
Mobile application
Twin Quest
Game

Monitoring App
Monitoring Perawat & Pasien
IOT
Kependudukan Desa Jabung
Website application
Jagakuin
UI/UX
Blog
A collection of thoughts, lessons, and experiences I’ve shared.
-

Hati-Hati, File “Tersembunyi” Ini Bikin Hard Drive Laptop Cepat Penuh
Pernah merasa hard drive (penyimpanan) laptop Anda tiba-tiba penuh padahal Anda jarang mengunduh film atau game besar? Kemungkinan besar, storage Anda dimakan oleh file sampah…
-

BAHAYA! Jangan pakai Laptop Diatas Kasur!!
Siapa yang tidak suka bekerja atau streaming sambil tiduran di kasur atau sofa yang nyaman? Ini adalah kebiasaan yang sangat umum, namun ternyata diam-diam bisa…

Organization Experience
Politechnic Computer Club — Workshop Division

Part of the Workshop Division, which oversees the Network Department.
I am a staff member in the Workshop Division, which oversees the Network Department and supports various technical activities. In this role, I assist with network-related preparations, basic configurations, and helping members during hands-on learning sessions. This experience helps me develop my technical skills while working collaboratively with the team.

Polytechnic Computer Club
Workshop Division
Life & Moments
Some snapshots from my daily life and the things I enjoy















